La TEORIA della RELATIVITA’ … per stupidi (7).

La materia si contrae e le distanze si accorciano. Trasformazione di Lorentz
La trasformazione di Lorentz mette in relazione i tempi e le distanze osservati in un sistema in moto con quelli osservati in un sistema relativamente in quiete.
Dico ‘relativamente’ in quiete perché, come ben sai ormai, non esiste un sistema in stato di quiete assoluta.
Ho preparato un po’ di diagrammi di Minkowsky per dare un’idea visiva di quello che succede nella trasformazione di Lorentz. L’alternativa sarebbe quella di usare la matematica … meglio evitare, se non voglio perdere anche i miei ultimi lettori 🙂

Comincio con un’animazione.
Nel primo frame c’è il sistema di riferimento rosso (del signor Rossi) quasi completamente nascosto dal sistema di riferimento verde (del signor Verdi). Se i due sistemi sono sovrapposti, questo vuol dire che non c’è movimento relativo: i due sistemi sono cioè fermi uno rispetto all’altro. Se trascuriamo il metro di spazio che c’è fra le loro due sedie, possiamo dire che Verdi e Rossi sono seduti al bar a gustarsi un caffè prima della partenza di Verdi per un viaggio nello spazio.
I piccoli cerchi azzurri raffigurano eventi che accadono nel sistema di riferimento del signor Verdi. Nell’animazione ci sono anche due frecce gialle che rappresentano le worldline di due impulsi di luce che, come ormai sai bene, viaggiano alla velocità di 300.000 km/s. E’ importante notare come queste due linee, essendo la velocità della luce assoluta, rimangano invariate in tutte le trasformazioni successive.
Ho disegnato anche un reticolo di linee verticali e di linee orizzontali. Le linee verticali, parallele all’asse tempo, “t”, sono linee di posizione costante e sono il luogo di eventi che accadono nello stesso punto spaziale ma in tempi diversi. Gli eventi E1 ed E2, per esempio, avvengono in tempi diversi, distanti uno dall’altro di un tempo t, di 2 secondi, nello stesso punto spaziale di coordinate x = 0.
Le linee orizzontali di colore violetto parallele all’asse spazio, “x”, sono linee di tempo costante o linee di simultaneità e sono il luogo degli eventi che accadono in punti spaziali diversi ma nello stesso momento. Per esempio, gli eventi E3 ed E4 avvengono in punti dello spazio diversi, distanziati uno dall’altro dello spazio x, di 600.000 km, ma nello stesso momento di coordinate t = 0.
Rossi e Verdi, nel primo frame dell’animazione, sono fermi uno rispetto all’altro, quindi concordano sulla distanza spaziale di 600.000 km fra E3 ed E4 e concordano anche sul tempo trascorso, di 2 secondi, fra E1 ed E2. I due amici concordano anche sul fatto che gli eventi E3 ed E4 sono simultanei al tempo t = 0. In questa situazione, il reticolo di linee di posizione costante e di tempo costante va bene sia per il sistema Verdi sia per il sistema Rossi.
E’ il caso di far rilevare che, ai fini pratici, per noi che ci muoviamo sulla Terra con velocità reciproche non significative rispetto alla velocità della luce, questa è la situazione che sperimentiamo nella nostra quotidianità: i tempi e le distanze sono uguali per tutti.
Nei frames successivi dell’animazione si vede come viene deformato lo spaziotempo di Verdi in relazione alla sua velocità. Forse l’animazione è troppo veloce per apprezzare quello che accade. Blocco quindi il frame numero 2 per guardarlo meglio.
Innanzitutto c’è da fare una precisazione. Nell’animazione si vede chiaramente che, a seguito della trasformazione, le coordinate di tempo e spazio degli eventi vengono profondamente alterate. E’ importante mettere in risalto che questa deformazione avviene solo nella prospettiva di Rossi nella sua qualità di osservatore privilegiato in stato di quiete. Per Verdi, le coordinate di tempo e spazio degli eventi rimangono invariate quale che sia la sua velocità.

Nel diagramma 39 ho riportato il frame numero 2. Guardiamolo un po’ meglio.
Per la verità c’è una differenza fra l’animazione e questo diagramma. Il tempo t fra E1 ed E2 nell’animazione era di 2 secondi, qui nel diagramma è di 4 secondi. Questo non cambia niente nella sostanza … migliora solo la leggibilità del grafico. Anche qui, Rossi è il sistema di riferimento privilegiato in stato di quiete.
Verdi è partito con la sua astronave e si muove, rispetto a Rossi, a una velocità di 100.000 km/s.
Se la velocità di 300.000 km/s è rappresentata da una retta con inclinazione di 45°, per rappresentare la velocità di 100.000 km/s, è necessario inclinare di 15° l’asse tempo di Verdi, tV, rispetto a tR e di -15° l’asse spazio, xV, rispetto a xR.
Di conseguenza, anche il reticolo di linee di posizione costante e tempo costante è distorto di conseguenza della stessa inclinazione. Sulla sua nave spaziale, Verdi sta ora facendo degli esperimenti. Ha con sé il suo bravo cronometro per prendere il tempo che intercorre fra l’evento E1 e l’evento E2 (nota bene che E1 ed E2 sono due eventi co-locali, che avvengono, cioè, nel sistema di riferimento di Verdi, sulla linea di posizione costante x = 0). Se l’intervallo di tempo fra due linee di tempo costante contigue è di 1 secondo, allora Verdi rileva un intervallo di tempo di 4 secondi fra i due eventi.
Rossi, dal suo sistema di riferimento stazionario sta facendo lo stesso esperimento ma il suo risultato non concorda con quello di Verdi. Fra gli eventi E1 ed E2 egli misura un intervallo di tempo più lungo di 4 secondi. Come mai? Per cercare di dare una spiegazione comprensibile ricorro ai soliti grafici e al classico esempio dell’orologio ottico.

Nel diagramma 40 ho disegnato un orologio ottico costituito da due specchi A e B completamente riflettenti. Un impulso di luce rimbalza in continuazione dallo specchio B allo specchio A e viceversa.
Quando l’impulso impatta lo specchio A sentiamo il classico ‘Tic’, quando invece impatta lo specchio B, sentiamo l’altrettanto classico ‘Tac’. Se stiamo per un attimo a sentire, sentiremo una serie di tic-tac, tic-tac, tic-tac … corrispondente al ritmo di rimbalzo dell’impulso di luce sui due specchi.
Essendo la velocità dell’impulso luminoso, “c”, sempre di 300.000 km/s, la frequenza del tic-tac dipenderà solo dalla distanza “L” fra lo specchio A e lo specchio B. Se “L” è lungo per esempio 300 metri, per andare da A a B, l’impulso luminoso impiegherà L/c (300/300.000.000), cioè 1 milionesimo di secondo.
Il ciclo completo di tic-tac, andata e ritorno fra A e B, sarà di 2L/c, cioè di 2 milionesimi di secondo. Siccome è difficile immaginare tempi così piccoli, ricorro a un artificio e faccio finta che fra il tic e il tac passi un secondo. Questo ci consente di sentire mentalmente il ritmo del tic-tac. Provaci … riesci a sentire il ritmo dell’orologio che fa tic-tac ogni secondo? Bene ricordati di questo ritmo … questo è lo stesso ritmo che sente Verdi con l’orologio ottico imbarcato sulla sua astronave.
Consideriamo ora la situazione dal punta di visto di Rossi. Rispetto all’astronave e all’orologio ottico solidale con l’astronave, Rossi si muove a un velocità v=100.000 km/s

Nel diagramma 41 è illustrato graficamente quello che sperimenta Rossi dal suo punto di vista.
Quando l’impulso di luce parte da B, lo specchio A è nella posizione A1, ma quando il raggio lo raggiunge, lo specchio A si sarà spostato nella posizione A2. L’impulso rimbalza sullo specchio A e torna verso lo specchio B ma nel frattempo questo si è spostato dalla posizione B1 alla posizione B2.
Come vedi, rispetto a Rossi, l’impulso luminoso non percorre la distanza L ma fa un tragitto più lungo rappresentato dalla retta D. Anche Rossi sente il ‘Tic’ quando l’impulso impatta lo specchio A, e il ‘Tac’ quando invece impatta lo specchio B. Essendo la velocità della luce sempre la stessa, Rossi dovrà aspettare più di un secondo per sentire il tac dopo il tic perché la luce deve percorrere una distanza maggiore. Se Rossi si concentra un attimo per sentire il ritmo del tic-tac, sperimenterà un ritmo rallentato rispetto a quello sentito da Verdi.
Di quanto sarà rallentato? Qui entra in gioco il famoso fattore di Lorentz . La formula dice che il tempo osservato da Rossi è uguale al tempo ‘proprio’ osservato da Verdi moltiplicato il fattore di Lorentz:

Non ti lasciare impressionare da questa formula. Basta sapere che, per una velocità di 100.000 km/s, il fattore di Lorentz è 1,062, per cui se Verdi ha misurato 4 secondi, Rossi misurerà 4,25 secondi (4 x 1,062 = 4,25). Se la velocità di Verdi fosse di 200.000 km/s, allora il fattore di Lorentz sarebbe 1,340, quindi, il tempo riferito a Rossi sarebbe di 5,36 secondi (4 x 1,340 = 5,36). Come vedi più aumenta la velocità, maggiore diventa il rallentamento del tempo di Verdi come osservato da Rossi.
La dilatazione del tempo si può anche vedere graficamente nella geometria dello spaziotempo di Minkowsky. Propongo alcuni diagrammi simili a quelli disegnati finora ma con un elemento in più: le iperboli equi-temporali. Cosa sono queste iperboli? Nel diagramma 42 sono gli archi grigi a cavallo della coordinata tempo. Le iperboli equi-temporali sono il luogo dei punti equidistanti, in termini di tempo, dall’origine dell’asse tempo, t = 0, per tutti i possibili sistemi in moto inerziale. Per esempio, gli eventi che cadono sull’arco d’iperbole contrassegnata da t = 4, avranno un tempo proprio di 4 secondi quale che sia la velocità del sistema in moto.
Mi rendo conto che questo passaggio non è di immediata comprensione. Ma, se mi segui passo, passo, vedrai che anche queste iperboli non hanno niente di iperbolicamente difficile.

Nel diagramma 42, ci sono i soliti due sistemi di riferimento, rosso e verde, sovrapposti e, quindi, senza alcun movimento relativo. Le linee di tempo costante, quelle di colore viola pallido, sono valide sia per il sistema Verdi sia per il sistema Rossi. Questo vuol dire che l’intervallo di tempo fra le linee di tempo costante (un secondo nel nostro diagramma) è lo stesso per i due sistemi in esame.
Anche il tempo dell’evento E1 è di 4 secondi per entrambi gli osservatori. Come vedi dal diagramma, l’evento E1 è situato sia sulla linea di tempo costante di 4 secondi, sia sull’arco d’iperbole contrassegnato da t=4.
Nel diagramma successivo, Verdi si muove a una velocità di 200.000 km/s rispetto a Rossi.

Nel diagramma 43, la prima cosa che è evidente, a parte l’inclinazione degli assi tB e xB, è la diversa inclinazione delle linee di tempo costante.
Se guardi con attenzione, puoi vedere che, nel sistema di Verdi, l’evento E3 è ancora sulla linea dei quattro secondi. In altre parole, il tempo proprio dell’evento E3, secondo il cronometro di Verdi, è esattamente di 4 secondi.
Che cosa succede nel sistema Rossi? Qui entra in gioco l’arco d’iperbole t = 4. Come detto prima, l’iperbole è il luogo dei punti temporalmente equidistanti dall’origine del tempo t = 0.
Anche secondo Rossi il tempo dell’evento E3 giace sull’iperbole t = 4, quindi, il tempo ‘proprio’ di Rossi relativamente all’evento E3 è t = 4. Ora, Rossi vuole conoscere qual è il tempo che Verdi assegna all’evento E3 (noi sappiamo che Verdi ha misurato un tempo di t = 4, ma Rossi di questo non può saperne niente). Graficamente conduce la parallela all’asse xR passante per E3 fino a incontrare l’asse tR. Vede così chiaramente che il tempo T è maggiore del tempo t. Per la precisione, Rossi valuta che, per Verdi, l’evento E3 accade al tempo di 5,36 secondi (4 x 1,340 = 5,36)
Ma le cose strane non finiscono qui. La trasformazione di Lorentz non si limita ad influenzare i tempi. Se la velocità della luce è costante, al variare del tempo devono variare anche le distanze.
La materia si contrae e le distanze si accorciano.
L’ipotesi sulla contrazione delle lunghezze è antecedente alla Teoria della Relatività e risale al fisico irlandese George F. Fitzgerald. Dopo aver saputo dell’esperimento condotto dal matematico e fisico britannico Oliver Heaviside in cui si dimostrava che un campo magnetico è deformato dal moto, Fitzgerald dedusse che, similmente, quando un corpo si muove attraverso lo spazio subisce una deformazione causata dal movimento. L’ipotesi di Fitzgerald, pubblicata su Science nel 1889, rimase inosservata fino a quando il fisico olandese Hendrik Lorentz, nel 1892, dimostrò che un simile effetto si poteva ottenere basandosi sulla teoria elettromagnetica della materia e sviluppò la serie di equazioni note come trasformazione di Lorentz.
Sebbene le equazioni siano state sviluppate da Lorentz, è Einstein che le ha poste alla base di una vastissima generalizzazione che, mantenendo costante la velocità della luce, fa variare tutte le misure di tempo e distanza secondo la velocità di ogni sistema inerziale.
Vediamo come avviene questa contrazione delle lunghezze.
Immaginiamo una stecca metrica o asta di misura, situata su di un sistema in moto inerziale e orientata longitudinalmente al senso del moto. Ebbene, l’asta di misura si contrae in relazione alla velocità del sistema. Più precisamente, un’asta di misura disposta longitudinalmente alla direzione del moto si accorcia nel senso della lunghezza. Questa variazione non ha nulla a che fare con la composizione dell’asta di misura. Essa può essere un regolo di legno, una barra di metallo o un filo di acciaio: il risultato è sempre lo stesso perché la contrazione della misura metrica non è un fenomeno meccanico.
Faccio il solito esempio. Verdi, prima di partire per il suo viaggio intergalattico, ha imbarcato sull’astronave un’asta metrica di acciaio lunga esattamente 1 metro. Prima di partire, Verdi e l’amico Rossi hanno misurato accuratamente, con l’asta di acciaio, la lunghezza della cabina di pilotaggio dell’astronave nel senso del moto. La cabina è risultata essere lunga esattamente 2 metri.
Ora Verdi è in viaggio a una velocità di 200.000 km/s e usa la stessa asta metrica per misurare la lunghezza della cabina di pilotaggio. Cosa misurerà? Esattamente 2 metri. Niente si è ristretto; o invece si sono ristretti in ugual misura sia l’asta d’acciaio, sia la cabina di pilotaggio, … sia il corpo stesso di Verdi? Quale che sia la risposta, una cosa è certa: Verdi non noterà alcun accorciamento dell’asta metrica o della cabina di pilotaggio al variare della velocità. Se da fermo ha misurato una lunghezza di 2 metri della cabina di pilotaggio, anche muovendosi alla velocità di 200.000 km/s misurerà sempre una lunghezza di 2 metri.
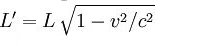
Le cose cambiano se ci mettiamo nella prospettiva di Rossi. Egli è rimasto fermo sulla Terra e si considera ‘relativamente’ in quiete rispetto a Verdi. Egli sta cercando di verificare se la lunghezza della cabina di pilotaggio dell’astronave di Verdi è ancora di 2 metri. Rossi ormai è abituato a queste stranezze, quindi non si meraviglia più di tanto quando scopre che la lunghezza della cabina è ora più corta di 2 metri. Ma di quanto si è contratta la cabina? La formula dice che la lunghezza misurata da Rossi, L’ , è uguale alla lunghezza ‘propria’, L, moltiplicato il reciproco del fattore di Lorentz (1 / fattore di Lorentz):

Per una velocità di 200.000 km/s il reciproco del fattore di Lorentz è 0,749, quindi la lunghezza della cabina dell’astronave che misura Rossi è di 1 metro e mezzo (2 x 0,749 = 1,5).
Ora guarda una cosa. Se la velocità di Verdi è di 300.000 km/s, allora, v 2/c 2 = 1, il reciproco del fattore di Lorentz diventa zero. Applicando la formula, abbiamo che la lunghezza della cabina dell’astronave è zero (L’ = L x 0). L’astronave si è spiaccicata contro il muro della velocità della luce!!!
Spiaccicata è il termine giusto, perché se è vero che la lunghezza dell’astronave è ora zero, la sua larghezza rimane invariata. Cosa ne è di Verdi chiuso nella cabina? Sì è spiaccicato anch’egli? Cosa gli è successo? Non gli è successo niente. Egli continuerà a misurare una lunghezza della cabina di 2 metri. C’è da mettersi le mani nei capelli. Per la verità va detto che l’astronave di Verdi non potrà mai raggiungere la velocità di 300.000 km/s. Infatti, con l’aumentare della velocità aumenta anche la massa dell’astronave. A un certo punto la massa dell’astronave sarà così grande che ci vorrà un’energia infinta per farla muovere a una velocità maggiore. Questo è il motivo per cui niente può viaggiare più veloce della luce.
Anche la contrazione delle lunghezze si può vedere graficamente nella geometria dello spaziotempo di Minkowsky. Il diagramma 45 è simile ai precedenti con una differenza: gli archi d’iperbole disegnati a cavallo della coordinata spazio xR, non hanno nulla a che fare con il tempo; rappresentano, invece il luogo dei punti equi-estesi, cioè equidistanti, in termini di spazio dall’origine della coordinata spazio x = 0, per tutti gli osservatori inerziali.

Se la distanza fra due linee di posizione costante è di 300.000 km, allora l’evento E1, accade, nel sistema di Verdi, a una distanza “dV”, dall’origine della coordinata spaziale (O) di 1.200.000 km. Infatti, se guardi bene, ci sono quattro linee grigie fra l’origine degli assi e l’evento E1 (ogni linea vale 300.000 Km).
Tutti gli eventi che accadono sull’arco di parabola equi-estesa intermedia accadono a 1 milione e 200 mila km di distanza da O indipendentemente dalla velocità del sistema in moto.
Per rapportare il valore della coordinata spazio di E1 nel sistema di riferimento di Rossi, conduciamo una parallela all’asse tR fino a incontrare l’asse xR in x’.
Si ottiene così un triangolo rettangolo, dove dV è l’ipotenusa e dR è il cateto. A questo punto sembra che i conti non tornino: l’ipotenusa è sempre più lunga del cateto mentre noi ci saremmo aspettati una contrazione di dV rispetto a dR. Ma questo è vero solo se ragionassimo nel piano euclideo. Nella geometria dello spaziotempo — strano ma vero — l’ipotenusa dV è più corta del cateto dR .
Vediamo perché.
Come abbiamo fatto prima con il tempo, disegniamo in questo caso un arco di iperbole (quello tratteggiato) contenente i punti equi-estesi passante per x’. Osserviamo adesso l’andamento di questo segmento d’iperbole.
Se si tiene conto che tutti i punti su questo segmento d’iperbole sono equidistanti dall’origine della coordinata spaziale, allora la distanza Ox’ è uguale alla distanza Ox. Come puoi vedere dal disegno, il segmento dV (distanza propria di Verdi) è più corto di Ox, quindi di Ox’, e quindi anche di dR (distanza misurata da Rossi).
Se mi hai seguito fin qui, penso che ora avrai un bel mal di testa. 🙂
Sarei tentato di finire l’articolo qui, ma già che ci siamo ti propongo un diagramma che ho trovato su “Geometry, Relativity and the Fourth Dimension” di R. Rucker e che ho liberamente rielaborato. Secondo me, questo diagramma è il massimo per quanto riguarda la rappresentazione della contrazione delle lunghezze.
A prima vista, con tutto il suo intrigo di linee, questo diagramma sembra complicatissimo. Non è così … ci vuole solo un po’ di pazienza, ma, alla fine, districare l’intrigo è più divertente che risolvere un Sudoku.
Nella storia non possono mancare il signor Rossi, il signor Verdi e mister Brown. Rossi e Verdi sono imbarcati su due razzi intergalattici. Rossi si muove con il suo razzo verso destra alla velocità di 150.000 km/s. Verdi si muove verso sinistra alla stessa velocità. Brown se ne sta ‘relativamente’ fermo rispetto ai due astronauti.
A parte una banda rossa sul razzo di Rossi e una banda verde sul razzo di Verdi, le due navi spaziali sono perfettamente uguali; soprattutto i due razzi hanno la stessa lunghezza. Questo è stato accuratamente verificato dai tre amici prima della partenza per il viaggio intergalattico.
Ora i due razzi sono in volo, uno verso l’altro, alla velocità di 150.000 km/s. Le cabine di guida, dove stanno comodamente seduti Rossi e Verdi, sono poste esattamente al centro del razzo.

Vediamo cosa rappresentano le linee del diagramma.
Innanzitutto puoi vedere che c’è una linea marrone verticale contrassegnata con tB. Questa è la wordline dell’osservatore privilegiato in stato di quiete, cioè di Mister Brown. La worldline di Brown corrisponde alla sua coordinata tempo, tB.
La sua coordinata spazio è la linea orizzontale marrone contrassegnata con xB. Ti ricordo che l’asse xB è anche una linea di simultaneità di Brown. Le coordinate tR e xR sono rispettivamente la coordinata tempo e la coordinata spazio di Rossi. Le coordinate tV e xV sono rispettivamente la coordinata tempo e la coordinata spazio di Verdi.
Anche se ormai dovrebbe essere superfluo, mi permetto di ricordarti che gli assi xR e xV sono anche linee di simultaneità, rispettivamente di Rossi e di Verdi.
Abbiamo detto tutto? No. Ci sono ancora le linee tratteggiate rosse e verdi da considerare. Queste linee tracciano le worldline della punta e della coda dei due razzi.
Osservando il diagramma si vede che c’è un evento nello spaziotempo in cui Rossi, Verdi e Brown si trovano nello stesso punto nello stesso momento. Chiaramente, per la legge dell’impenetrabilità dei corpi, non è possibile che Brown e i due razzi si trovino esattamente nello stesso punto dello spazio nello stesso momento. Bisogna ricordare però che la singola coordinata spazio rappresenta le tre dimensioni x,y,z. Nulla ci vieta di pensare che l’incrocio avvenga quando gli osservatori in questione si trovano a quote diverse lungo la coordinata z. Per esempio, possiamo dire che l’incrocio avviene quando il razzo di Rossi si trova 1000 metri sopra la verticale di Brown e quando il razzo di Verdi si trova, a sua volta, 1000 metri sopra la verticale di Rossi.
Nel diagramma sono indicati due eventi:
- l’evento E1 avviene nel momento in cui, nello spazio, la punta del razzo verde è allineata con la coda del razzo rosso;
- l’evento E2 si verifica nel momento in cui la punta del razzo rosso è allineata con la coda del razzo verde.
Possiamo subito notare una cosa importante. Per Brown, gli eventi E1 ed E2 sono simultanei perché avvengono su una sua linea di simultaneità, l’asse xB. Nell’istante in cui accadono i due eventi, Brown vede la punta del razzo verde allineata con la coda del razzo rosso e la punta del razzo rosso allineata con la coda del razzo verde. Nella prospettiva di Brown, in questo istante, i due razzi sono perfettamente sovrapposti ed egli può dire, senza sbagliare, che i due razzi hanno la stessa lunghezza.
E uno è andato.
Mettiamoci ora nei panni di Rossi. Innanzitutto, vediamo che gli eventi E1 ed E2 non sono sull’asse xR, sua linea di simultaneità. Quindi, per Rossi, i due eventi non accadono nello stesso momento. In effetti, guardando bene il grafico, puoi vedere che l’evento E1 è situato più in alto rispetto alla sua linea di simultaneità, mentre l’evento E2 si trova al di sotto della stessa linea. Questo vuol dire che per Rossi, l’evento E2 (la punta del suo razzo allineata con la coda del razzo verde) accade prima dell’evento E1 (la punta del razzo verde allineata con la coda del suo razzo).
Rossi sta ora pensando “quando la punta del mio razzo si è incrociata con la coda del razzo verde la mia coda non era ancora allineata con la punta del razzo verde … quindi il mio razzo è più lungo di quello di Verdi! Com’è possibile? Eppure li avevamo misurati accuratamente prima di partire!”. Rossi, in base alle sue osservazioni, ha ragione a ritenere che il razzo di Verdi sia più corto del suo razzo. Prova a pensarci e vedrai che è così … non ti avevo detto che districarsi tra queste figure concettuali è più divertente che risolvere un sudoku?
Adesso prova da solo ad analizzare la situazione dal punto di vista di Verdi. Vedrai che, secondo Verdi, la situazione è perfettamente simmetrica. Egli riterrà che il suo razzo è più lungo di quello di Rossi.

Certo, nel mondo della teoria della relatività, un minimo di coerenza non guasterebbe: Brown dà una versione della lunghezza dei razzi, Rossi ne dà un’altra, Verdi ne dà un’altra ancora. Ma la cosa più difficile da accettare, per la nostra povera intuizione e il nostro povero buon senso, è che hanno ragione tutti e tre ragione!!!
Luigi Di Bianco